La correcta selección de capacitores en motores monofásicos NTC 2050, IEC optimiza rendimiento y eficiencia.
Capacitores adecuados garantizan arranque seguro, prolongan vida útil del motor y mejoran factor de potencia.
Calculadora de Capacitor – Motor Monofásico
¿Cómo se calcula el capacitor?
Trabajo: C(μF) ≈ 60·HP / V
¿Qué voltaje usar?
Tabla 1: Capacitores de arranque para motores monofásicos (NTC 2050, IEC)
| Potencia motor (kW) | Tensión nominal (V) | Capacitancia recomendada (µF) | Tolerancia (%) | Tipo de capacitor | Comentarios |
|---|---|---|---|---|---|
| 0,18 | 230 | 20 | ±5 | Electrolítico | Motor pequeño, arranque suave |
| 0,25 | 230 | 25 | ±5 | Electrolítico | Uso general |
| 0,37 | 230 | 35 | ±5 | Electrolítico | Motor común doméstico |
| 0,55 | 230 | 45 | ±5 | Electrolítico | Equipos de baja potencia |
| 0,75 | 230 | 60 | ±5 | Electrolítico | Pequeñas bombas y compresores |
| 1,1 | 230 | 75 | ±5 | Electrolítico | Arranque de motor de tamaño medio |
| 1,5 | 230 | 100 | ±5 | Electrolítico | Aplicaciones de ventiladores industriales |
| 2,2 | 230 | 120 | ±5 | Electrolítico | Motor de mediana potencia |
| 3 | 230 | 150 | ±5 | Electrolítico | Bombas y compresores pequeños |
| 4 | 230 | 180 | ±5 | Electrolítico | Motor de media potencia |
| 5,5 | 230 | 220 | ±5 | Electrolítico | Aplicaciones industriales pequeñas |
| 7,5 | 230 | 300 | ±5 | Electrolítico | Bombas medianas, ventiladores |
| 11 | 230 | 350 | ±5 | Electrolítico | Motor industrial |
| 15 | 230 | 450 | ±5 | Electrolítico | Grandes bombas y compresores |
| 18,5 | 230 | 500 | ±5 | Electrolítico | Motor de alta potencia |
Nota: Los valores de capacitancia se ajustan según las normas NTC 2050 y las recomendaciones de fabricantes, considerando que el capacitor de arranque se desconecta tras el arranque mediante un interruptor centrífugo.
Tabla 2: Capacitores de marcha (para motores monofásicos IEC)
| Potencia motor (kW) | Tensión nominal (V) | Capacitancia recomendada (µF) | Tolerancia (%) | Tipo de capacitor | Comentarios |
|---|---|---|---|---|---|
| 0,18 | 230 | 6 | ±5 | Permanente | Motor pequeño con funcionamiento continuo |
| 0,25 | 230 | 8 | ±5 | Permanente | Uso general |
| 0,37 | 230 | 10 | ±5 | Permanente | Ventiladores domésticos |
| 0,55 | 230 | 15 | ±5 | Permanente | Bombas pequeñas |
| 0,75 | 230 | 18 | ±5 | Permanente | Aplicaciones de baja potencia |
| 1,1 | 230 | 25 | ±5 | Permanente | Bombas medianas, compresores |
| 1,5 | 230 | 30 | ±5 | Permanente | Motores industriales pequeños |
| 2,2 | 230 | 40 | ±5 | Permanente | Ventiladores medianos |
| 3 | 230 | 50 | ±5 | Permanente | Equipos de mediana potencia |
| 4 | 230 | 60 | ±5 | Permanente | Bombas de media potencia |
| 5,5 | 230 | 75 | ±5 | Permanente | Compresores pequeños |
| 7,5 | 230 | 100 | ±5 | Permanente | Motores medianos industriales |
| 11 | 230 | 120 | ±5 | Permanente | Bombas grandes |
| 15 | 230 | 150 | ±5 | Permanente | Motores de alta potencia |
| 18,5 | 230 | 180 | ±5 | Permanente | Equipos industriales grandes |
Los capacitores permanentes (de marcha) se mantienen conectados durante todo el funcionamiento del motor, mejorando el factor de potencia y el par de arranque.
Fórmulas para la selección de capacitores en motores monofásicos
La selección correcta del capacitor depende de la potencia del motor, la tensión de alimentación, el tipo de arranque y la frecuencia de operación. Las principales fórmulas son las siguientes:
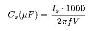
1. Fórmula de capacitancia para motores de arranque
Variables:
- Cs: Capacitancia del capacitor de arranque en microfaradios (µF).
- Is: Corriente de arranque del motor en amperios (A). Valor típico: 4–7 veces la corriente nominal InI_nIn.
- f: Frecuencia de la red eléctrica (Hz). Normalmente 50 o 60 Hz.
- V: Tensión de línea en voltios (V). Normalmente 230 V o 400 V según la red.
Valores típicos:
- Is para motor de 1 kW: 10–12 A
- V: 230 V
- f: 60 Hz
Esta fórmula proporciona una aproximación del valor de capacitancia necesario para lograr un arranque eficiente.
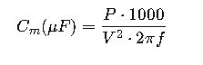
2. Fórmula de capacitancia para motores de marcha (permanente)
Variables:
- Cm: Capacitancia del capacitor de marcha en microfaradios (µF).
- P: Potencia nominal del motor en watts (W).
- V: Tensión de línea en voltios (V).
- f: Frecuencia de operación (Hz).
Valores típicos:
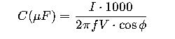
3. Fórmula basada en la corriente de motor y factor de potencia
Variables:
- I: Corriente del motor en amperios (A).
- V: Tensión de alimentación (V).
- f: Frecuencia (Hz).
- cosϕ: Factor de potencia del motor.
Esta fórmula se usa cuando se conoce el factor de potencia y se busca optimizar el consumo energético y el rendimiento del motor.
4. Fórmula práctica según IEC y NTC 2050
Variables:
- K: Coeficiente según tipo de motor y normativa NTC 2050/IEC (valores típicos: 70–100 para arranque, 15–25 para marcha).
- P: Potencia del motor (W).
- V: Tensión nominal del motor (V).
Esta fórmula permite seleccionar rápidamente un capacitor usando tablas de coeficientes normalizadas por potencia y tensión.
Consideraciones técnicas adicionales
- Tipo de capacitor:
- Arranque: electrolítico, desconectable.
- Marcha: permanente, polipropileno o metalizado, con baja pérdida dieléctrica.
- Tensión nominal: Siempre debe superar un 10–15% la tensión de línea para evitar fallas prematuras.
- Tolerancia: ±5% es estándar industrial según IEC/NTC 2050.
- Normas de seguridad:
- IEC 60252-1: Capacitores para motores de inducción monofásica.
- NTC 2050: Capacitores de arranque y marcha, cálculo y tablas normalizadas.
- Verificación práctica: Se recomienda medir la corriente de arranque y ajustar el capacitor si la corriente excede valores seguros o si el par de arranque es insuficiente.




