Voltage drop is essential in power distribution, affecting efficiency, equipment performance, and compliance with standards. This guide explores principles, tables, standards, and real-world applications of three-phase voltage drop calculation comprehensively.
Three-phase Voltage Drop Calculator
How is voltage drop calculated for three-phase?
What is acceptable voltage drop?
Typical R/X values
Why Voltage Drop Matters in Three-phase Systems
Three-phase systems are the backbone of industrial, commercial, and large-scale residential power distribution. Voltage drop directly influences:
- Efficiency: Excessive voltage drop increases current, leading to I²R losses.
- Equipment performance: Motors may not start properly or may overheat.
- Lighting systems: Reduced voltage causes flicker and poor illumination.
- Standards compliance: IEC, IEEE, and NEC impose limits on allowable percentage voltage drop.
Most international codes recommend limiting voltage drop to:
- 3% for branch circuits,
- 5% for feeders plus branch circuits combined.
Key Formulas for Three-phase Voltage Drop Calculation
Voltage drop in a three-phase system depends on conductor resistance, reactance, current, and length. Below are the principal formulas used in engineering practice:
1. Basic Three-phase Voltage Drop Formula

2. Percentage Voltage Drop Formula

3. Simplified Formula for Resistive Loads (Power Factor ≈ 1)
For resistive loads, where power factor ≈ 1 and reactance is negligible:
4. Voltage Drop Including Impedance Magnitude
Sometimes expressed directly as:

Explanation of Variables with Typical Values
| Variable | Description | Typical Values (based on standards & tables) |
|---|---|---|
| I (Amps) | Load current | 10 A (small loads) to 2000 A (large feeders) |
| R (Ω/km) | Conductor resistance | Cu: 0.018 Ω/km at 50 mm²; Al: 0.028 Ω/km at 50 mm² |
| X (Ω/km) | Conductor reactance | 0.08 – 0.12 Ω/km (typical for XLPE/insulated cables) |
| cos φ | Power factor | 0.8 (inductive motors), 0.95 (commercial), 1.0 (resistive heaters) |
| L (km) | Circuit length | 0.01 km (short feeders) to 1–2 km (distribution circuits) |
| V_LL (Volts) | Line-to-line system voltage | 208 V, 400 V, 480 V, 11 kV, 33 kV |
Extensive Table of Common Three-phase Voltage Drop Values
The following table provides pre-calculated voltage drop values for copper conductors at 400 V three-phase systems, 50 Hz, PF = 0.9 lagging, based on common cross-sectional areas and load currents.
Note: Data is based on IEC 60228 standard conductor resistances and typical reactance values.
| Conductor Size (mm²) | Current (A) | Length (m) | Resistance (Ω/km) | Reactance (Ω/km) | Voltage Drop (V) | % Voltage Drop |
|---|---|---|---|---|---|---|
| 10 Cu | 30 | 50 | 1.83 | 0.08 | 4.76 | 1.19% |
| 16 Cu | 50 | 75 | 1.15 | 0.08 | 6.70 | 1.67% |
| 25 Cu | 80 | 100 | 0.727 | 0.08 | 10.05 | 2.51% |
| 35 Cu | 100 | 150 | 0.524 | 0.08 | 13.60 | 3.40% |
| 50 Cu | 120 | 200 | 0.387 | 0.08 | 16.07 | 4.01% |
| 70 Cu | 160 | 200 | 0.268 | 0.08 | 15.65 | 3.91% |
| 95 Cu | 200 | 250 | 0.193 | 0.08 | 19.38 | 4.85% |
| 120 Cu | 250 | 300 | 0.153 | 0.08 | 22.15 | 5.54% |
| 150 Cu | 300 | 350 | 0.124 | 0.08 | 25.42 | 6.35% |
| 185 Cu | 350 | 400 | 0.0991 | 0.08 | 28.91 | 7.23% |
| 240 Cu | 400 | 500 | 0.0754 | 0.08 | 34.35 | 8.59% |
| 300 Cu | 500 | 600 | 0.0601 | 0.08 | 41.27 | 10.32% |
Interpretation: This table shows that even with large conductors, long feeder runs can exceed recommended voltage drop limits, requiring larger conductors or shorter feeder routes.
Real-world Application Examples
Case Study 1: Industrial Motor Feeder
- System voltage: 400 V, 3-phase
- Motor load: 75 kW induction motor
- Power factor: 0.85 lagging
- Current:
- Feeder length: 120 m
- Conductor: Copper, 35 mm² (R = 0.524 Ω/km, X = 0.08 Ω/km)
Voltage drop calculation:

Within limits for feeder (≤ 5%), but close to maximum. Increasing to 50 mm² conductor would reduce losses.
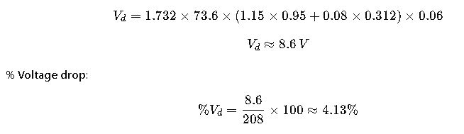
Case Study 2: Commercial Lighting Feeder
- System voltage: 208 V, 3-phase
- Lighting load: 25 kW
- Power factor: 0.95
- Current:
- Feeder length: 60 m
- Conductor: Copper, 16 mm² (R = 1.15 Ω/km, X = 0.08 Ω/km)
Voltage drop calculation:

Above recommended 3% for branch circuits supplying lighting → must upsize to 25 mm².
Common Voltage Drop Values in Three-phase Systems
When designing three-phase electrical systems, engineers rely heavily on reference tables to select conductor sizes that meet both ampacity and voltage drop requirements. These tables consolidate standardized resistance and reactance values, allowing faster decision-making without the need for manual calculations.
Below is an extended reference table showing typical voltage drops for aluminum conductors at 480 V, three-phase, power factor of 0.9, and 60 Hz. Aluminum is often used in large feeders due to its cost advantage, but higher resistance compared to copper means larger sizes are usually required to stay within recommended voltage drop limits.
| Conductor Size (mm²) | Current (A) | Length (m) | Resistance (Ω/km) | Reactance (Ω/km) | Voltage Drop (V) | % Voltage Drop |
|---|---|---|---|---|---|---|
| 25 Al | 50 | 50 | 1.15 | 0.10 | 7.5 | 1.56% |
| 35 Al | 75 | 75 | 0.868 | 0.10 | 11.3 | 2.36% |
| 50 Al | 100 | 100 | 0.641 | 0.10 | 15.5 | 3.23% |
| 70 Al | 125 | 150 | 0.443 | 0.10 | 19.1 | 3.98% |
| 95 Al | 160 | 200 | 0.320 | 0.10 | 23.0 | 4.79% |
| 120 Al | 200 | 250 | 0.253 | 0.10 | 28.0 | 5.83% |
| 150 Al | 250 | 300 | 0.206 | 0.10 | 33.6 | 7.00% |
| 185 Al | 300 | 350 | 0.164 | 0.10 | 38.5 | 8.02% |
| 240 Al | 400 | 400 | 0.125 | 0.10 | 46.2 | 9.62% |
This table shows how aluminum conductors reach higher voltage drop values faster than copper for the same current and length. In practice, this means engineers either increase conductor size or limit run lengths to meet code recommendations.
Best Practices to Minimize Voltage Drop in Three-phase Networks
- Use larger conductor sizes: Increasing the cross-sectional area reduces resistance and therefore minimizes voltage drop.
- Select copper instead of aluminum: Although more expensive, copper’s lower resistance significantly reduces losses and improves reliability.
- Improve power factor: Inductive loads like motors increase reactive current. Installing capacitor banks or active power factor correction devices reduces voltage drop impact.
- Shorten conductor lengths: Whenever possible, place distribution boards or transformers closer to the loads to reduce feeder length.
- Use higher system voltage: Transmitting the same power at a higher voltage requires lower current, which reduces voltage drop. For example, moving from 208 V to 480 V systems cuts current by more than half.
- Install parallel conductors: For very large loads, using multiple conductors in parallel can reduce overall resistance and balance current distribution.
- Follow standards strictly: IEC, IEEE, and NEC provide maximum recommended percentage drops to ensure safe and efficient operation.
Standards and Regulatory Framework
Different standards provide guidance on acceptable voltage drop levels:
- NEC (National Electrical Code): Suggests not exceeding 3% voltage drop for branch circuits and 5% total for feeders plus branch circuits combined.
- IEC 60364: Recommends similar limits but allows more flexibility for special installations, such as industrial systems.
- IEEE Standards: Offer detailed recommendations for power distribution in industrial and commercial facilities, particularly regarding motor starting and continuous operation.
International standards converge on the principle that excessive voltage drop compromises efficiency, safety, and equipment performance. For compliance and optimization, engineers must evaluate each installation case based on both code requirements and operational needs.
Advanced Considerations in Three-phase Voltage Drop
Motor Starting Conditions
Voltage drop is especially critical during motor starting, where inrush currents can be five to seven times higher than nominal. Excessive drop at start can prevent motors from accelerating, leading to overheating or nuisance tripping of protection devices. For this reason, feeders for large motors are often oversized to limit voltage drop during both starting and steady-state operation.
Harmonics and Non-linear Loads
In modern electrical systems with variable frequency drives, rectifiers, and IT loads, harmonics increase effective current in conductors. This additional current component worsens voltage drop, especially in conductors with high resistance. Mitigation methods include harmonic filters and oversized neutrals in four-wire systems.
Medium-voltage Systems
For feeders at 11 kV or 33 kV, the same principles apply but with significantly reduced current due to higher transmission voltage. Voltage drop remains important over long distances such as rural distribution networks. Utilities often regulate feeder voltage at the substation and install voltage regulators along the line to maintain stable supply.
Real-world Application Example: Data Center Distribution
Modern data centers demand high reliability and efficiency. Power distribution units (PDUs) supply large racks with sensitive servers. Even a slight voltage drop can trigger malfunctions in power supplies or reduce redundancy margins. Engineers in such cases:
- Use copper busbars or oversized cables within PDUs.
- Maintain voltage drop below 2% for all feeders.
- Employ higher distribution voltages (415/240 V instead of 208/120 V) to reduce current and cable sizes.
This demonstrates how controlling voltage drop directly supports energy efficiency and operational continuity in mission-critical facilities.
Real-world Application Example: High-rise Building Distribution
In tall buildings, vertical risers can exceed 100 meters. Voltage drop becomes significant, especially for lighting circuits and HVAC equipment installed on upper floors. To mitigate:
- Engineers often use 400/230 V three-phase distribution rather than lower voltages.
- Sub-panels are installed on multiple floors to shorten branch circuit lengths.
- Cables are upsized where vertical runs cannot be avoided.
Failure to account for voltage drop in such installations may lead to complaints of dim lighting, malfunctioning air conditioners, and excessive operational costs.
Practical Design Guidelines
- Always check both ampacity and voltage drop when selecting conductors. A cable sized only for current may still fail voltage drop requirements.
- For mixed loads, calculate voltage drop using weighted averages of power factor.
- Consider temperature correction factors: conductor resistance increases with temperature, raising voltage drop under full load conditions.
- Use software tools or online calculators to speed up the process while still validating results with manual checks.


