Urban planners and architects analyze sunlight exposure to optimize building efficiency, comfort, and energy performance. Accurate shade calculation ensures optimal light distribution, minimizes overheating, and improves environmental sustainability.
Sunlight Exposure & Shade Calculator
How is shade calculated?
What if the obstruction is far away?
Sunlight Exposure and Shade Calculation: Technical Overview
1. Key Variables and Parameters
Understanding the primary variables involved in sunlight exposure and shade calculation is essential for accurate assessments. Below is a detailed table outlining these variables:
| Variable | Symbol | Description | Units | Common Values and Ranges |
|---|---|---|---|---|
| Latitude | φ | Geographic latitude of the location | Degrees (°) | -90° to +90° (e.g., New York: 40.7128° N) |
| Solar Declination | δ | Angle between the rays of the sun and the plane of the Earth’s equator | Degrees (°) | Varies seasonally; max ~23.44° at solstices |
| Hour Angle | H | Angle between the solar meridian and the observer’s meridian | Degrees (°) | -180° to +180°; 0° at solar noon |
| Solar Elevation Angle | α | Angle between the sun and the horizontal plane | Degrees (°) | 0° at sunrise/sunset; varies with time and location |
| Solar Azimuth Angle | Az | Compass direction from which sunlight is coming at any specific point | Degrees (°) | 0° = North, 90° = East, 180° = South, 270° = West |
| Shadow Length | L | Length of the shadow cast by an object due to sunlight | Meters (m) | Varies with solar elevation angle and object height |
| Object Height | h | Height of the object casting the shadow | Meters (m) | Depends on the specific object |
| Surface Albedo | α_s | Reflectivity of the surface receiving sunlight | Dimensionless | 0 (black) to 1 (white); typical values: grass ~0.25, concrete ~0.35 |
| Shade Factor | SF | Fraction of sunlight blocked by an object or structure | Dimensionless | 0 (no shade) to 1 (full shade) |
2. Fundamental Formulas
The calculation of sunlight exposure and shading effects involves several key formulas:
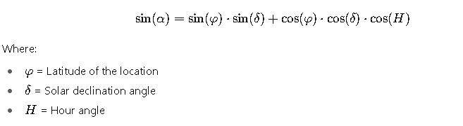
a. Solar Elevation Angle (α)
The solar elevation angle determines the apparent angle of the sun above the horizon. It is calculated using:

b. Hour Angle (H)
The hour angle represents the time of day and is given by:

c. Shadow Length (L)
The length of the shadow cast by an object is inversely related to the solar elevation angle:

d. Annual Sunlight Exposure (ASE)
ASE quantifies the percentage of a specific area that receives direct sunlight above a certain illuminance level for a specified duration annually. It is calculated as:

This metric is particularly useful in building design to assess potential glare and overheating risks
Real-World Applications and Case Studies
Case Study 1: Urban Planning and Building Design
Scenario: Designing a new residential complex in a densely built urban area.
Objective: Ensure adequate sunlight exposure for all apartments while minimizing shading effects from surrounding buildings.
Approach:
- Data Collection: Obtain the geographical coordinates (latitude and longitude) of the site.
- Solar Analysis: Use solar position calculators to determine the solar elevation and azimuth angles at different times of the day and year.
- Shadow Analysis: Calculate the shadow lengths cast by existing buildings and proposed structures using the shadow length formula.
- Simulation: Employ 3D modeling software to simulate sunlight exposure and shading patterns throughout the year.
- Optimization: Adjust building orientations and heights to maximize sunlight exposure for residential units and communal areas.
Outcome: The design successfully incorporates passive solar heating, reduces energy consumption, and enhances occupant comfort.
Case Study 2: Agricultural Planning for Crop Placement
Scenario: Planning the layout of a vegetable garden in a region with varying topography.
Objective: Optimize plant placement based on sunlight availability to enhance growth and yield.
Approach:
- Site Assessment: Conduct a site survey to identify areas of full sun, partial shade, and full shade.
- Sun Mapping: Use tools like SunCalc or ShadeMap to visualize the sun’s path and shadow patterns throughout the year
- Plant Selection: Choose crops suited to the identified light conditions (e.g., tomatoes in full sun, lettuce in partial shade).
- Layout Design: Arrange plants to ensure optimal sunlight exposure, considering seasonal variations.
Outcome: The garden layout maximizes sunlight utilization, leading to improved plant health and increased crop yield.
Tools and Resources for Sunlight Exposure and Shade Calculation
Several tools and resources are available to assist in sunlight exposure and shade calculations:
- SunCalc: Provides visualizations of the sun’s path and sunlight phases for specific locations and dates
- ShadeMap: Offers simulations of sun shadows for any time and place, aiding in understanding sunlight exposure and shading effects
- NOAA Solar Calculator: Allows calculation of the sun’s position for any location and time, useful for planning and analysis
- IESVE Annual Sunlight Exposure (ASE) Tool: Assists in assessing annual sunlight exposure in building design, important for glare and overheating considerations
Further Reading and References
For more in-depth information on sunlight exposure and shade calculation, consider the following resources:
- IESVE User Guide: Annual Sunlight Exposure (ASE)
- SunCalc: Visualizing the Sun’s Path
- ShadeMap: Simulating Sun Shadows
- NOAA Solar Calculator: Sun Position Calculations
- Design Basics: Mapping the Sun on Your Site
Accurate calculation of sunlight exposure and shading effects is essential for informed decision-making in various fields. By understanding the underlying principles and utilizing appropriate tools, professionals can optimize designs and plans to achieve desired outcomes in energy efficiency, plant growth, and environmental sustainability.


